 
			Qui dit rats, dit cage et qui dit cage, dit litière ! Si la question ne date pas d’hier, la situation a bien évolué ces dernières années : nouvelles offres, nouvelles tendances, nouvelles connaissances… Découvrez dans notre grand dossier toute l’actualité des litières.
Des stars sur le déclin
	
	Chanvre, lin et rafle de maïs ont longtemps été nos litières chouchoutes : peu chères, faciles d’accès et d’utilisation, elles étaient conseillées par tous les ratouphiles. Mais avec le temps et la diversification de l’offre, elles ont perdu de leur superbe et sont de moins en moins utilisées, voire franchement critiquées.
Chanvre et lin sont souvent poussiéreux et allergisants, provoquant des soucis aussi bien chez les rats que leurs propriétaires. Extrêmement volatiles, leur utilisation sous-entend un ménage accru. La rafle de maïs est maintenant reléguée aux « bacs à cacas », étant jugée trop inconfortable pour être utilisée sur l’ensemble de la cage. Cependant, ces litières restent les plus faciles à trouver, étant généralement disponibles dans toutes les animaleries et jardineries. Leur capacité d’absorption et de gestion des odeurs est bonne, leur prix est accessible et elles conviennent toujours à de nombreuses troupes.
Si ces litières ont été détrônées par de nouvelles références, elles restent dans nos basiques.
	 
De nouvelles références
	
	L’offre s’est améliorée ces dernières années, avec l’accès à de nouvelles litières : carton, papier recyclé, Drybed et tapis de bain sont devenus la norme chez de nombreux ratouphiles, leur succès ne faisant que grandir.
Le carton (voir page 12) est bon marché, efficace, peu volatile et rarement allergisant. Il a remplacé le chanvre et le lin dans de nombreux foyers, bien que son accès soit encore restreint (en livraison uniquement, non disponible en commerce.) Les litières de papier recyclé, type Back to Nature, ont pris la place du maïs dans nos bacs d’angle et sont souvent utilisées avec du Drybed ou des tapis de bain. Disponibles en magasin, leur prix élevé et leur inconfort sous les pattes limitent leur utilisation. Après un départ encourageant, le Drybed est en perte de vitesse face aux tapis de bain type Toftbo. Moins chers, plus faciles d’accès et nécessitant moins d’entretien, ces tapis ont rapidement gagné le cœur des ratouphiles.
Arrivées dans nos cages il y a quelques années, ces nouvelles litières ont su conquérir les plus exigeants d’entre nous et semblent avoir un bel avenir devant elles.
Les outsiders
	
	En dehors des litières communément utilisées, se trouvent quelques possibilités intéressantes : tissus polaires, papier absorbant, tapis de chanvre ou de lin, coton naturel, copeaux de bois blanc, fibre de coco… Ces litières peu communes peuvent être utilisées, au cas par cas, selon leurs forces et faiblesses.
La polaire n’a pas détrôné les tapis de bain, malgré son prix concurrentiel. Plus fragile et moins absorbante, elle est également plus difficile à fixer dans la cage. Le papier absorbant est une litière d’appoint, utile pour un animal dont on doit régulièrement changer la couche (en post-opératoire par exemple). Les tapis de chanvre ou de lin partagent les défauts de leurs équivalents non compressés, tout en étant plus chers. Le coton naturel et la fibre de coco souffrent de leur prix et de leur incapacité à équiper tout le bac d’une cage : à principalement utiliser dans un nid ou un bac de fouille. Les copeaux de bois durs (non résineux : bouleau, peuplier…) sont souvent trop poussiéreux et rarement vendus en magasin.
D’autres litières, non listées, existent, mais elles ne sont pas toujours adaptées aux besoins du rat, ou d’une telle difficulté d’utilisation qu’il est préférable de les éviter.
Le cas copeaux
	
	Poussiéreux, trop fins et soupçonnés de produire des dérivés phénoliques dangereux (voir notre discussion « phénols et résineux, info ou
	intox » en fin de ce dossier), les copeaux de résineux sont, depuis des années, décriés par la communauté. S’ils sont faciles à trouver et peu chers, ils ne sont pas adaptés au fragile système respiratoire de nos rats et doivent être évités.
	Il existe cependant une catégorie de copeaux plus gros, chauffés à haute température et dépoussiérés (ce qui n’est pas le cas des copeaux classiques). Vendus pour le maintien des chevaux sensibles, ils sont utilisés dans d’autres pays pour les petits rongeurs et lagomorphes. N’ayant que peu de données sur ce produit, son utilisation en France reste marginale.
	
	Sondage : quelle est votre litière préférée ? 
	
	Afin de mesurer les dernières tendances, nous avons réalisé un sondage diffusé du 11 au 25 juin sur notre site et sur Facebook (merci aux groupes participants !) Les résultats révèlent bien les dernières tendances. Les deux « nouveaux », le carton et les tapis de bain, caracolent en tête. Le chanvre, le préféré historique, tient encore son rang. La désaffection pour le Drybed, produit phare au début des années 2010, est patente.
	 
Les commentaires des sondés nous éclairent également. Les litières de lin et les paillettes de chanvre sont jugées très volatiles. Les Drybed et tapis de bain sont appréciés si les rats sont propres et peu destructeurs. Le papier recyclé est peu volatile et confortable, les avis au niveau des odeurs sont mitigés. La rafle de maïs s’avère dure sous les pattes. La litière de cellulose sent vite et est chère, mais douce pour les rats. La litière de carton semble la plus appréciée pour son prix et sa bonne absorption des odeurs et des urines.
Litière de carton : pourquoi un tel succès ?
	
	 En premier lieu nous pouvons parler de son pouvoir absorbant non négligeable. En effet, Susan Raymond du Centre de Recherche Équine* (Ontario, Canada) a effectué un test pour différencier les capacités d’absorption des litières les plus utilisées : alors que 10 grammes de paille se contentent d’absorber 25 mL de liquide (et les copeaux de bois 30 mL seulement), 10 grammes de carton quant à eux en absorbent 100 ! Edifiant n’est-ce pas ? Cela s’explique par le fait que lors de la fabrication de cette litière, la lignine (composant du papier) est retirée. Il s’agit d’une biomolécule censée apporter rigidité, résistance à la décomposition et imperméabilité au papier. Ainsi dépourvue de lignine, la litière de carton permet de trouver sa place parmi les litières leaders chez les ratouphiles.
En premier lieu nous pouvons parler de son pouvoir absorbant non négligeable. En effet, Susan Raymond du Centre de Recherche Équine* (Ontario, Canada) a effectué un test pour différencier les capacités d’absorption des litières les plus utilisées : alors que 10 grammes de paille se contentent d’absorber 25 mL de liquide (et les copeaux de bois 30 mL seulement), 10 grammes de carton quant à eux en absorbent 100 ! Edifiant n’est-ce pas ? Cela s’explique par le fait que lors de la fabrication de cette litière, la lignine (composant du papier) est retirée. Il s’agit d’une biomolécule censée apporter rigidité, résistance à la décomposition et imperméabilité au papier. Ainsi dépourvue de lignine, la litière de carton permet de trouver sa place parmi les litières leaders chez les ratouphiles.
Par ailleurs, le carton présente d’autres avantages non négligeables : étant fortement dépoussiéré et ne contenant pas de graminées, il permet de ne pas encourager les soucis respiratoires de nos compagnons et de limiter le risque d’allergie. Il est également confortable pour les rats : souple et doux, ni trop chaud en été, ni trop froid en hiver, il retient très bien l’humidité et est donc extra pour leur confort !
De plus, son impact écologique est moindre puisque cette litière à base de carton recyclé peut être compostée une fois usagée. Elle dure généralement plus longtemps en cage que les autres litières. Et si au départ elle ne s’achetait qu’à l’étranger, c’est dorénavant terminé grâce à notre tout nouveau partenariat avec l’entreprise Card’Box**. Son coût (hors frais de port) est d’ailleurs très peu élevé comparé aux autres alternatives.
Au final, on peut parler d’un réel rapport qualité- prix quasi imbattable !
* http://www.livinglegends.org.au/horse-health/ horse-management/thirsty-bedding/
** Ndlr. Ce partenariat n'est plus d'actualité
	 Phénols et résineux, info ou intox ?
Phénols et résineux, info ou intox ? 
Tout le monde vous le dira : « la litière de copeaux de bois résineux est toxique » ! Elle contient du phénol, qui est toxique. Ou alors, des phénols, qui sont toxiques. Ou alors, du ou des phénols qui, au contact de l’urine, dégagent quelque chose qui est toxique. Ou alors, c’est l’urine qui réagit avec le bois pour produire du phénol, qui est toxique. Ou alors... attendez une minute : sait-on vraiment ce qu’il y a de toxique dans la sciure, et pourquoi il ne faudrait pas l’utiliser ?
Un tour rapide sur un moteur de recherche peut mettre la puce à l’oreille : la première page de résultats sur les mots-clefs « résineux phénols » renvoie exclusivement à des sites d’amateurs de rongeurs (pour déconseiller, justement, l’usage de cette litière.) Il faut aller aux pages suivantes pour commencer à voir des sites ne parlant ni de rongeurs, ni de litière... et pas toujours de toxicité. Voilà qui interpelle !
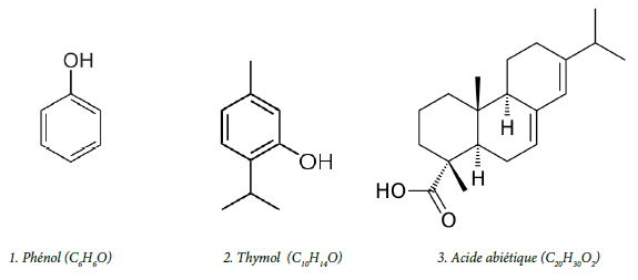
D’abord, un peu de chimie. Les phénols sont une grande famille de molécules diverses, ayant pour point commun d’inclure dans leur formule chimique un cycle aromatique (6 atomes de carbone en hexagone) lié à un groupe hydroxyle (1 atome d’oxygène et 1 atome d’hydrogène). Le phénol (figure 1, page suivante) est une molécule chimique particulière (la plus simple) faisant partie de cette famille. Mais le phénol n’est pas le seul membre de la famille des phénols ! Par exemple, le thymol (figure 2, page suivante), présent dans le thym et participant à son odeur et ses propriétés antiseptiques est un phénol, mais pas du phénol ! Observez les deux molécules, on reconnaît facilement la partie similaire. Il n’en fallait pas plus pour créer une première confusion.
	 
Le phénol est, en effet, une molécule très toxique (c’est-à-dire qu’il en faut peu pour observer des effets très délétères, par exemple des brûlures graves avec une solution aqueuse contenant moins de 1% de phénol.) Le hic, c’est que... le bois ne contient pas de phénol !
En revanche, les phénols sont naturellement omniprésents dans le règne végétal : plantes, fruits, arbres, et produits qui en dérivent (certaines huiles essentielles utilisées en aromathérapie notamment.) Mais là, ça se complique : il existe une multitude de phénols, ayant des propriétés différentes, parfois bénéfiques, parfois délétères, souvent les deux.
Chaque essence de bois contient des combinaisons différentes, en quantité variable suivant l’espèce exacte (pin maritime, pin sylvestre, pin parasol...), l’endroit où l’arbre a poussé, et même la saison où il a été coupé ! Le recoupement de la littérature devient ardu.
Par ailleurs, les phénols ne sont pas propres aux résineux. Et les résineux ne contiennent pas que des phénols : on y trouve aussi des terpènes (comme dans « Saniterpen ») et des acides résiniques, qui participent eux aussi à l’odeur et aux propriétés du bois. Par exemple, l’acide abiétique (figure 3) présent dans le pin est un acide résinique– ce n’est pas un phénol. Or... ce sont ces acides résiniques qui sont mis en cause dans certaines études souvent invoquées par les opposants aux copeaux.
Les études justement, parlons-en. Une revue exhaustive de la littérature scientifique serait tentaculaire, et nous n’y prétendons pas. Cependant, les quelques études plus citées par les amateurs de rongeurs n’apportent pas vraiment de réponse claire et définitive non plus. En fait, on est dans un cas typique de « mille-feuille argumentatif » : des arguments fragiles mais dont l’accumulation finit par semer le doute.
	Petit florilège :
	 
- 
		Une étude démontrant un impact de l’acide plicatique (acide résinique présent dans le cèdre rouge) et de l’acide abiétique sur certaines enzymes du foie chez le rat - rien sur les poumons.
 
- 
		Cette étude remarque que le cèdre, surtout, réduit l’efficacité de l’anesthésie par barbituriques... méthode d’anesthésie qui n’est plus utilisée depuis longtemps chez les vétérinaires français.
 
- 
		Des recommandations de laboratoire invitant à ne pas utiliser de litière de copeaux de cèdre, voire de résineux, pour ne pas fausser les recherches – pas forcément pour des raisons de santé.
 
- 
		Des études relevant l’augmentation de problèmes de santé (asthme, allergies, cancers des voies respiratoires) non chez les rats, mais chez les ouvriers travaillant dans des scieries ou dans l’industrie du bois.
 
- Des études étudiant la toxicité de molécules présentes dans les résineux chez le rat, mais administrées par voie orale ou par injection intrapéritonéale (et non par inhalation), voire directement sur des cellules in vitro, et à des doses très élevées.
Etc., etc.
Et l’urine alors ? Je n’ai pas trouvé de réaction particulièrement documentée entre des composants de l’urine et du bois (il en existe certainement, mais cela ne semble pas être un gros sujet chez les chimistes.) Il n’est d’ailleurs pas nécessaire d’en trouver une : l’urée présente dans l’urine n’a besoin de rien pour se décomposer toute seule, au contact de l’air et avec le temps, en un gaz irritant : l’ammoniac (responsable de l’odeur d’urine dans une litière sale.) On pourrait alors imaginer que le problème des copeaux ne serait pas d’ordre chimique, mais viendrait d’une incapacité à retenir l’urine ou empêcher le dégagement d’ammoniac. Or, si elle n’est pas la meilleure de toutes, cette capacité n’est pas non plus si mauvaise : à peine moins bonne que le maïs, et 10 fois meilleure que la litière de cellulose.
	Il faut enfin mentionner un fait dont chacun pensera ce qu’il voudra : il s’évoque à mots couverts ici ou là que l’offensive contre les copeaux de résineux aux Etats-Unis date de la mise sur le marché de litières alternatives (en particulier la cellulose et le papier recyclé.) Sans aller jusqu’à  accréditer une théorie du complot ou de la guerre commerciale, beaucoup de textes se retrouvent entachés du soupçon de conflit d’intérêts, d’un côté comme de l’autre.
accréditer une théorie du complot ou de la guerre commerciale, beaucoup de textes se retrouvent entachés du soupçon de conflit d’intérêts, d’un côté comme de l’autre.
	Faut-il pour autant réhabiliter les copeaux de résineux ? C’est un pas que nous n’oserons certainement pas franchir ! En réalité, le fait que l’on emploie de mauvais arguments (par exemple : le phénol) pour défendre une idée (disqualifier les copeaux) ne veut pas automatiquement dire que cette idée est elle-même mauvaise. Il reste au moins deux bonnes raisons de ne pas se précipiter sur les copeaux :
	 
- 
		Le bon sens : la plupart des litières de sciure bas de gamme vendues en animalerie sont très, très poussiéreuses, et sentent fort le pin. Si dès l’ouverture du sac, l’odeur vous prend à la gorge et la poussière vous fait éternuer, il est évident que ça ne fera pas du bien à vos rats ! Les gros copeaux séchés au four, cependant, semblent exempts de ces problèmes.
 
- Le principe de précaution : en attendant une méta-analyse rigoureuse sur les rats et les litières, on peut se permettre le doute ou la prudence. Et ce, d’autant plus qu’il existe de très nombreuses alternatives (chanvre, carton...) satisfaisantes, et dont on constate qu’elles retiennent mieux les odeurs.
Et ça semble provisoirement suffisant, sans dégainer le très douteux « phénol toxique dans les copeaux ». Affaire à suivre...
Texte : Ancalimë, Artefact, Centaurelo, Douphie.
EDS n°07, juillet 2019
- 
					
						
					
							
								 1 1

 
	 
	




